高等数学试题专升本高数真题练习,附答案







参考答案



计算题
1、求不定积分

2、求不定积分

3、求不定积分

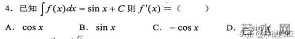
4、求不定积分

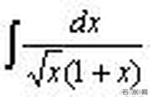
5、求不定积分

答案解析
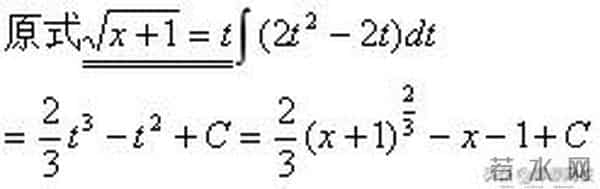
1:解:原式=

2:解:原式=

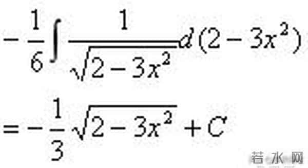
3:解:

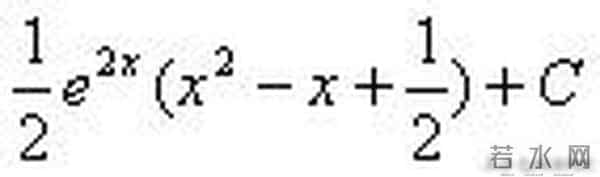
4:解:

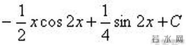
5:解:原式=

本文标题:高等数学试题专升本高数真题练习,附答案
本文链接:http://www.hniuzsjy.cn/kaoshi/36510.html
声明:本站所有文章资源内容,如无特殊说明或标注,均为采集网络资源。如若本站内容侵犯了原著者的合法权益,可联系本站删除。
