高等数学极限干货!高等数学极限的运算,掌握这些技巧,考研至少提10分
极限是高等数学中的重要内容之一,极限的运算在各类考试中都会出现,不同考试中试题的难度也不同。

关于极限的计算方法有很多,应用也很灵活,往往在一道题中,我们需要综合使用多种方法。因此,对极限的计算方法进行总结,提炼出一些实用的技巧,有助于提高计算的速度和准确度,从而能够提高考试的分数,甚至改变自己的命运!
1、利用四则运算法则
定理1 已知 limf(x),limg(x)都存在,极限分别为都存在,极限值分别为A,B,则下面极限都存在,
且有 (1)lim [f(x)±g(x)]=A±B;
(2)lim f(x)·g(x)=A·B;
(3)lim(f(x)/g(x))=A/B(B≠0).

分析:极限的四则运算法则是极限的基本法则,直接利用四则运算法则的题目往往难度都不大,在大学的期末考试或者研究生入学考试中一般不会只考察这一个知识点,往往需要结合其他的方法或者需要对式子进行化简和变形。

点评:对于这种两个分式差的表达式,对其进行化简只有一个方向,就是通分,通分后可以消掉为0的因子,然后利用极限的四则运算法则及函数的连续性即可求得。

点评:这个例题中的分子分母都是多项式,对于这一类题我们可以在分子分母上同时除以多项式的最高次幂,然后利用极限的四则运算法则进行计算,这一类题的结果有如下公式,利用这个公式的结论,没有太大的难度。
2、利用函数连续性
初等函数在其定义域D内是连续的,若x∈D,则有

这种情况下,函数的极限值与函数值相等,因此只需把数值代入函数表达式即可。但这种考题在考研的考试中不会直接出现,往往须与其他方法结合起来。

连续(图片来自:视觉中国)
(1)分子分母出现为0的公因式
方法:先对分子分母进行因式分解,约掉为0因式后再根据连续性计算。

■注1 本题也可用洛必达法则。
(2)分子或分母含有无理式
方法:对含有无理式的函数,需要进行分子或分母有理化,再计算。

点评 无理式在分母上大家很容易想到分母有理化,而对这种看似不是分式的表达式,往往想不到要用有理化,但这这道题表达式可以看作分母为1的分式,然后进行分子有理化,再利用连续性可得到结果。
3、利用两个重要极限
两个重要极限是计算函数极限的重要方法,利用这两个结论能有效的将许多复杂的极限变得简化,从而能迅速计算出函数的极限。
第一个重要极限

第一个重要极限
第一个重要极限本身很简单,但它存在多种形式的变形,这些变形后的公式在做题过程中可以直接应用。

第一个重要极限及其变形
■注2 函数形式中的□可以是满足条件的任意函数。

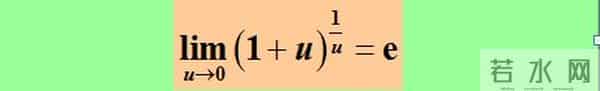
第二个重要极限

第二个重要极限

第二个重要极限的变形
■注3 和第一个重要极限的变形类似,这两个公式里的x和u也可以是函数形式。

点评 第二个重要极限本身并不难,难的是如何凑出极限的形式,使得所凑的式子直接可以表示成e的幂函数形式。

解法一


点评 这个例题可以采用这两种解法,第一种方法虽然分子分母分别计算极限,但在凑第二个重要极限时结构比较简单;第二种方法在凑第二个重要极限时需要注意幂上的常数项。
4、无穷小量
利用无穷小量求函数极限主要有两种方法:利用无穷小量的性质;利用等价无穷下的替换。
首先给出无穷小量的概念,这里不给课本上严格定义,而是从理解的层面给出定义。
定义 某种趋近方式下,以零为极限的变量

■注4 这里需要强调的是必须是变化的量,而不是很小的数,0的极限为0,因此0是常数中唯一的无穷小量。
(1)利用无穷小的性质
在计算极限过程中经常用到无穷小的性质:
性质1 有限个无穷小的代数和仍为无穷小。性质2 有限个无穷小的乘积仍是无穷小。性质3 有界函数与无穷小的乘积仍是无穷小。推论 常数与无穷小的乘积仍是无穷小。其中性质3是应用的最多的一条性质。

■注5 这道题中分子还可以是余弦函数cosx,只要式子可以变形成有界函数与无穷小量的乘积即可利用性质3。

点评:这是一道易错题,很多同学看到这道题的时候一看表达式,立刻想到了第一个重要极限,忽略了自变量x的趋近方式,即使同一函数,不同的趋近方式下,极限也不相同。
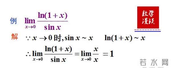
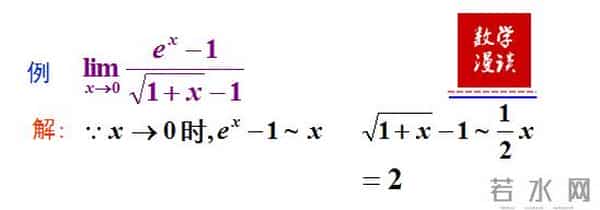
(2)等价无穷小的替换
等价无穷小在计算函数极限时有非常重要应用,这种情况下所求函数往往是两个无穷小量商的形式,利用等价无穷小的替换可以对表达式进行化简,从而能够快速的计算极限值。
我们需要记住一些常用的等价无穷小关系,如:




■注6 在利用等价无穷小求极限的过程中,因式之间是相乘或相除关系的无穷小量可以用各自等价无穷小替换,但加减号链接的无穷小量不能进行替换。
因此在上面的例题中,

■注7 以上3个例题均可以用洛必达法则。
5、利用洛必达法则
在前面运算中我们经常会碰到“0/0”及“∞/∞”型的极限,这两种类型的极限我们无法直接利用四则运算法则求解,必须对其进行适当的化简、变换,使其变成能够利用四则运算的形式,再对其求极限。但化简和变换非常麻烦,甚至有些时候无法化简。
学习了导数就可以利用洛必达法则求极限了,洛必达法则主要针对的是“0/0”及“∞/∞”两种未定式求极限,洛必达法则的定理内容这里不再赘述,具体可参考任何一本高等数学教材。
(1)“0/0”型未定式

■注8 此例题中利用了两次洛比达法则,最后利用了第一个重要极限。当所求极限中的函数比较复杂时,可以将前面的重要极限、等价无穷小代换等方法与洛必达法结合起来运用,并且在满足条件的情况下,洛必达法则可以多次使用。
(2)“∞/∞”型未定式

■注9“∞/∞”型未定式求极限和“0/0”型类似,只需在每次利用洛必达法则之前判断是否依然满足条件,只要满足条件就可以继续使用洛必达法则,但洛必达法则并不总是有效的,比如下面的例题。

此极限不存在!而原来极限却是存在的。正确做法是,首先将分子、分母同时除以x得

计算过程中用到了无穷小的性质3“有界函数与无穷小的乘积仍是无穷小”。
点评: 这个例题说明即使满足洛必达法则,而且原函数的极限也存在,但利用洛必达法则也未必能计算出来,此时须采用其他方法计算。

(3)其他类型未定式
除了常见的0/0”和“∞/∞”型,还有“∞-∞”,“0·∞”,"∞^0”,“0^0”及“1^∞”等几种未定式,这几种未定式往往可以通过化简转换为“0/0”或“∞/∞”.
“∞-∞”型往往可通过通分转化成“0/0”型;“0·∞”型可通过化乘法关系为除法关系,转换为“0/0”及“∞/∞”型;对于"∞^0”,“0^0”及“1^∞”这几种幂指函数求极限,可通过写成对数形式后再求极限。 
总结
上面对计算函数极限的常用方法进行总结,并且给出了每种题型的注意事项和应用技巧。求极限方法灵活多样,而且许多题目不只用到一种方法,因此,要想熟练掌握各种方法,必须多做练习,在练习中体会。由于篇幅有限,文章中给出的例题数量有限,欢迎大家私信提问遇到的难题,我将尽最大努力帮大家求解。数学漫谈——专注数学教育,传播数学文化,期待您的关注!
(原创内容、头条首发、公式图片原创)
本文标题:高等数学极限干货!高等数学极限的运算,掌握这些技巧,考研至少提10分
本文链接:http://www.hniuzsjy.cn/daxuesheng/47774.html
声明:本站所有文章资源内容,如无特殊说明或标注,均为采集网络资源。如若本站内容侵犯了原著者的合法权益,可联系本站删除。
