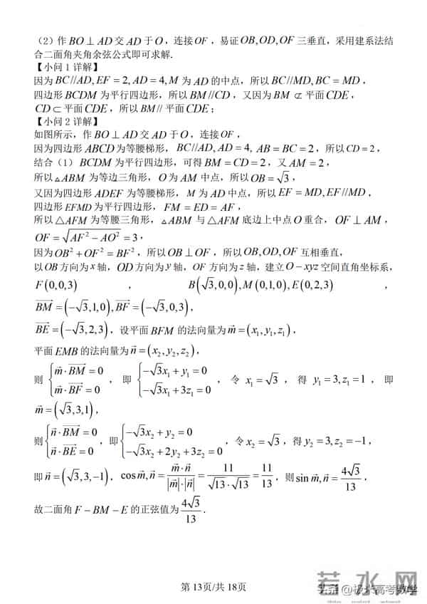
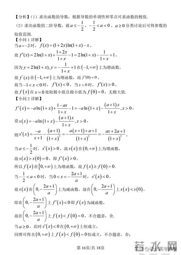
2024全国甲卷2024全国数学甲卷真题(解析)比起新高考1-2卷,甲卷是真的简单


















本文标题:2024全国甲卷2024全国数学甲卷真题(解析)比起新高考1-2卷,甲卷是真的简单
本文链接:http://www.hniuzsjy.cn/kaoshi/42523.html
声明:本站所有文章资源内容,如无特殊说明或标注,均为采集网络资源。如若本站内容侵犯了原著者的合法权益,可联系本站删除。


















本文标题:2024全国甲卷2024全国数学甲卷真题(解析)比起新高考1-2卷,甲卷是真的简单
本文链接:http://www.hniuzsjy.cn/kaoshi/42523.html
声明:本站所有文章资源内容,如无特殊说明或标注,均为采集网络资源。如若本站内容侵犯了原著者的合法权益,可联系本站删除。
2025-12-02
2025-12-02
在“躺平”和“内卷”挣扎的中国青年,何去何从?共青团中央这样建议
2025-12-02
南阳也有定制版的高中了——新时代学校2025年高中部招生简章重磅推出
2025-12-02