全国新课标卷2024年全国新课标I卷数学试题及参考答案









本文标题:全国新课标卷2024年全国新课标I卷数学试题及参考答案
本文链接:http://www.hniuzsjy.cn/kaoshi/37620.html
声明:本站所有文章资源内容,如无特殊说明或标注,均为采集网络资源。如若本站内容侵犯了原著者的合法权益,可联系本站删除。









本文标题:全国新课标卷2024年全国新课标I卷数学试题及参考答案
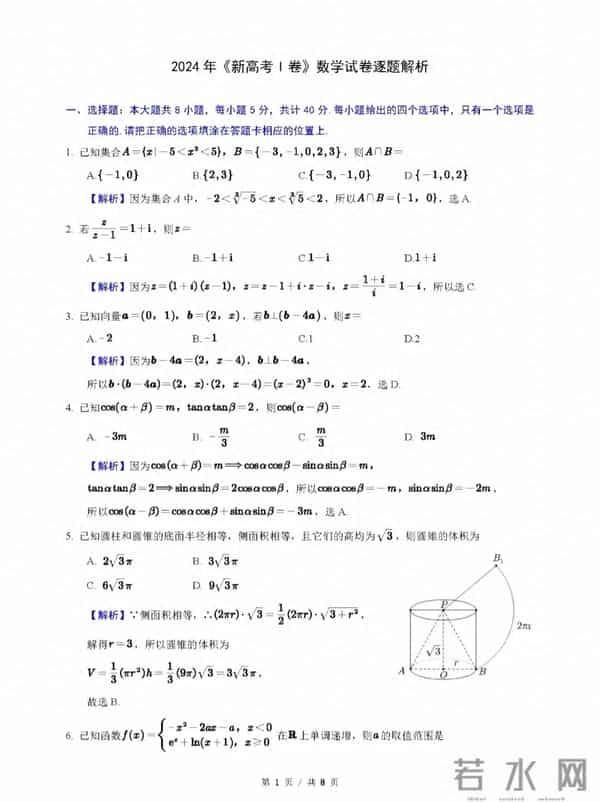
本文链接:http://www.hniuzsjy.cn/kaoshi/37620.html
声明:本站所有文章资源内容,如无特殊说明或标注,均为采集网络资源。如若本站内容侵犯了原著者的合法权益,可联系本站删除。
2025-11-29
2025-11-29
2025-11-29
2025-11-29
大学生数学建模2019全国大学生数学建模竞赛获奖名单出炉,你的大学获奖没?
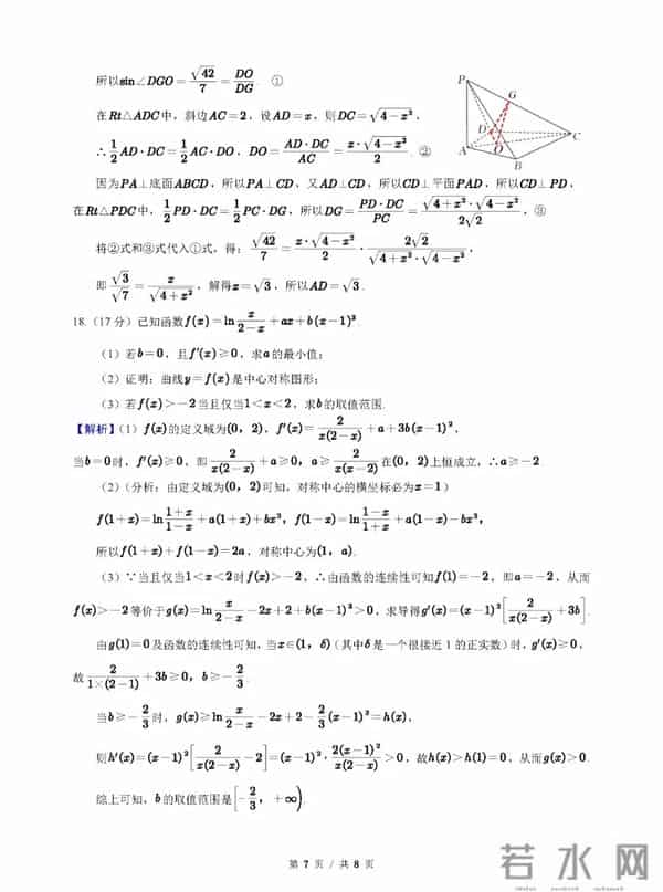
2025-11-29