黄山市公安局最新公告!
黄山市公安机关2025年公开招聘警务辅助人员面试成绩、合成成绩及体检公告
根据《安徽省公安机关警务辅助人员管理条例》和《黄山市公安机关2025年公开招聘警务辅助人员公告》的有关规定,现将面试成绩、合成成绩及体检有关事项公告如下:
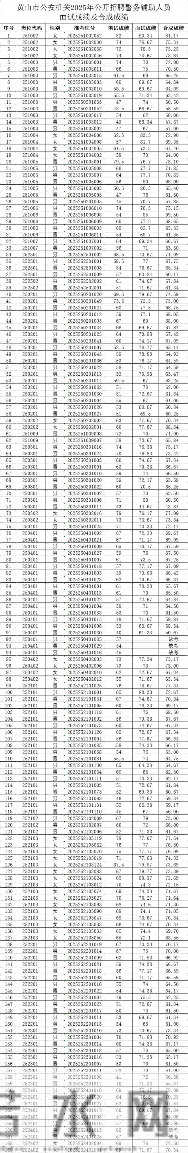
一、面试成绩及合成成绩
详见附件1
二、体检人员
体检人员名单详见附件2
三、体检时间、地点及注意事项
招聘群内另行通知
附件:1.黄山市公安机关2025年公开招聘警务辅助人员面试成绩及合成成绩
2.黄山市公安机关2025年公开招聘警务辅助人员体检人员名单
黄山市公安局
2025年12月3日
附件1:

附件2:

原标题:《黄山市公安局最新公告!》
阅读原文
来源:黄山发布
(本文来自澎湃新闻,更多原创资讯请下载“澎湃新闻”APP)
本文标题:黄山市公安局最新公告!
本文链接:http://www.hniuzsjy.cn/renwen/59515.html
声明:本站所有文章资源内容,如无特殊说明或标注,均为采集网络资源。如若本站内容侵犯了原著者的合法权益,可联系本站删除。
